Vektorpotential des Hertzschen Dipols
| > | A:=VectorField( <0,0,-I*k*exp(I*k*R)/R>, 'cylindrical'[r,theta,z] ); |

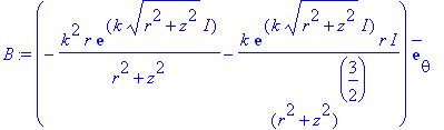
Zugehöriges B-Feld
| > | B:=Curl(A); |

in kartesischen Koordinaten
| > | MapToBasis(B,cartesian[x,y,z]); |

| > |
E-Feld
| > | E:=I/k*Curl(B); |
![]()
| > | simplify(%); |

komma@oe.uni-tuebingen.de