Schrödingergleichung

(Eine kurze Notiz)

Die Schrödingergleichung ist die Bewegungsgleichung der nicht relativistischen Quantenphysik. Gibt es Analogien zu den Bewegungsgleichungen der klassischen Physik?

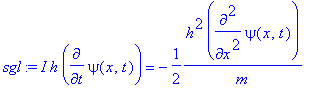
Schrödingergleichung für den potentialfreien Fall (V = 0):

> sgl:=I*h*diff(psi(x,t),t)=-h^2/(2*m)*diff(psi(x,t),x$2);

[Maple Math]

Eine möglichst allgemein formulierte Lösung der SGL besteht aus einer reellwertigen Amplitude (Funktion von Ort und Zeit) und der Wirkungsfunktion des Systems als Phase (Notation: h statt h-quer):

> u:=A(x,t)*exp(I/h*S(x,t));

[Maple Math]

Was passiert, wenn wir diese Wellenfunktion in die SGL einsetzen?

> psi:=(x,t)->u;

[Maple Math]

> sgl;

[Maple Math]
[Maple Math]
[Maple Math]

Umformen

> gl:=sgl/u;

[Maple Math]
[Maple Math]
[Maple Math]
[Maple Math]

> gl:=simplify(gl);

[Maple Math]
[Maple Math]
[Maple Math]

> gl:=expand(gl);

[Maple Math]
[Maple Math]

 

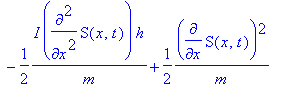
Wenn diese Gleichung erfüllt sein soll, so muß sie für den Realteil und den Imaginärteil erfüllt sein.

Realteil:

> -evalc(Re(lhs(gl)))=-evalc(Re(rhs(gl)));

[Maple Math]

Der Gradient der Wirkungsfuktion ist der Impuls. Also steht hier fast die Hamilton-Jacobi-Gleichung - nur mit einem Zusatz, der die Dimension eines Potentials hat und mit h**2 geht. Bohm nennt ihn das Quantenpotential (das für h -> 0 verschwindet).

Imaginärteil:

> igl:=evalc(Im(lhs(gl)))=evalc(Im(rhs(gl)));

[Maple Math]

> igl:=igl*A(x,t)/h;

[Maple Math]

> igl:=expand(igl);

[Maple Math]

Das sieht nach einer Kontinuitätsgleichung aus, wenn man nämlich die Amplitude mit der Wurzel einer Teilchendichte identifiziert:

> subs(A(x,t)=sqrt(rho(x,t)),igl);

[Maple Math]

> eval(%);

[Maple Math]

> %*2*sqrt(rho(x,t));

[Maple Math]

> expand(%);

[Maple Math]

Und dieser Zusammenhang führt bekanntlich auf die statistische Interpretation der Quantenmechanik.

Aus: Moderne Physik mit Maple

c ITP Bonn 1995 filename: schroe.ms

Autor: Komma,  Datum: 27.1.94

HOME | Fächer | Physik | Elektrizität | Optik | Atomphysik | Quantenphysik | Top